cht電腦資訊gcingcin分享
adm Find login register

【行列輸入法】取碼教學線上掃瞄影像檔分享!

yawnp0426
1 【行列輸入法】取碼教學線上掃瞄影像檔分享!
Promote 0 Bookmark 02017-11-08quote  

當年行列輸入法推廣時,時機上有點晚,中文打字市場已經有其它的輸入法可選用,再加上它撰寫於「倚天中文系統使用手册」民國79年以後的版本内,坊間相關電腦書籍就不方便推廣介紹,所以行列輸入法使用的人口非常少!

倚天中文手冊封面

倚天中文手冊背面

倚天中文手冊年代

倚天中文手冊序言01

倚天中文手冊序言02

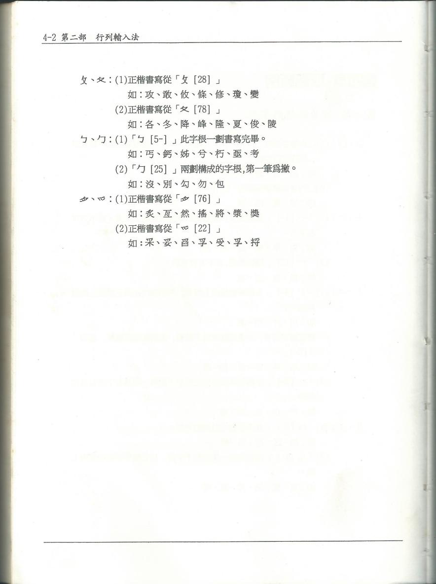
行列輸入法

行列輸入法

行列輸入法

行列輸入法

行列輸入法

行列輸入法

行列輸入法

行列輸入法

行列輸入法

行列輸入法

行列輸入法

行列輸入法

行列輸入法

行列輸入法

行列輸入法

行列輸入法

行列輸入法

行列輸入法

行列輸入法

行列輸入法

行列輸入法

行列輸入法

行列輸入法

行列輸入法

行列輸入法

行列輸入法

行列輸入法

行列輸入法

行列輸入法

行列輸入法

行列輸入法

edited: 8
eliu
2
Promote 0 Bookmark 02017-11-08quote  

這是40鍵的行列,幾乎沒人用了,gcin 沒有內建。目前主要是用30鍵的行列,我曾經學過,也買過書,不過放棄了。

edited: 1
老刀
3
Promote 1 Bookmark 02017-11-11quote  

我也是從第一代 40 鍵版開始學行列輸入法的(大約是 1992-1993 年間),現在則使用 30 鍵版行列輸入法。gcin 的行列 40 鍵版 array40.cin 是我做的,算是對行列輸入法發明人廖大哥致敬吧。

行列輸入法官網伺服器在 10 月底已經關了(伺服器所在的公司已結束營業),現在移到 Facebook 繼續提供服務。隨著服務網址遷移,行列輸入法也一併成立粉絲團了,這一篇連結,我已轉貼到行列輸入法 Facebook 粉絲團,歡迎前往粉絲團與大家聊天喔!

行列輸入法 Facebook 服務網址 https://www.facebook.com/array.com.tw/

行列輸入法 Facebook 粉絲團網址 https://www.facebook.com/groups/517104371955479/

edited: 2

cht電腦資訊gcingcin分享
adm Find login register
views:14960